Предмет: Физика,
автор: Asperine
Сколько времени падало тело, если за последние 2 с оно прошло 60 м? (с рисунком)
Ответы
Автор ответа:
0
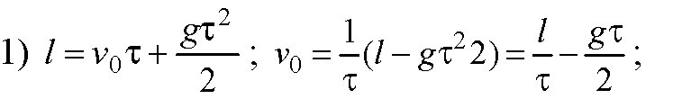
Дано: τ = 2 с; l = 60 м.Найти: t.
Приложения:
Похожие вопросы
Предмет: Биология,
автор: yusif27
Предмет: История,
автор: irakrupko8
Предмет: Информатика,
автор: lanskayapyan
Предмет: Математика,
автор: Аноним
Предмет: История,
автор: Elico