Предмет: Алгебра, автор: Ablai97

Вычислите интегралы,преобразуя подынтегральные функции.

Приложения:

Ответы

Автор ответа: nafanya2014
0
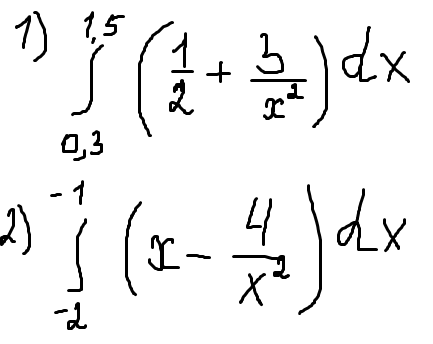
1) intlimits^{1,5}_{0,3} {( frac{1}{2}+ frac{3}{ x^{2} }) } , dx = (frac{1}{2}x- frac{3}{x})| _{0,3} ^{1,5}= frac{1}{2}(1,5-0,3)-3( frac{1}{1,5}- frac{1}{0,3})= \ =0,6-3cdot frac{(1-5)}{1,5}=0,6+8=8,6
2) intlimits^{-1}_{-2} {(x- frac{4}{ x^{2} }) } , dx =(frac{ x^{2} }{2}+ frac{4}{x})| _{-2}  ^{-1} =( frac{(-1) ^{2} }{2}-4)-( frac{(-2) ^{2} }{2} + frac{4}{(-2)})= \ = frac{1}{2}-4-2+2=-3,5
Похожие вопросы
Предмет: Алгебра, автор: mathyhynania14
Предмет: Математика, автор: polina5889095