Предмет: Алгебра,
автор: nik9988
Дз (1.2) Только решение
Приложения:
Ответы
Автор ответа:
0
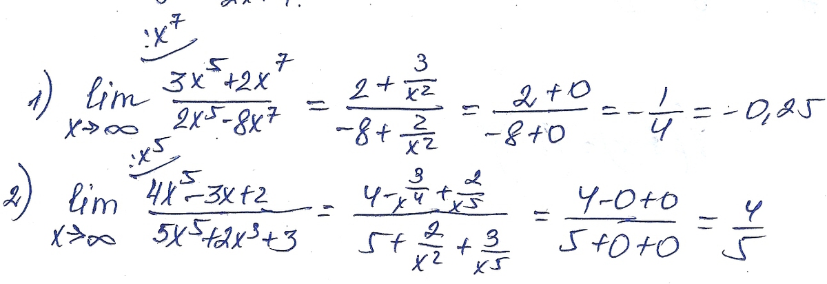
Решение вашего задания.
Приложения:
Похожие вопросы
Предмет: Математика,
автор: ddd7673
Предмет: Биология,
автор: sevincdzabbarova
Предмет: Математика,
автор: evavorosilova
Предмет: Физика,
автор: Vikunyaa