Предмет: Физика,
автор: Хадижа23
помогите сделать задачу, дальше никак не получается((Заранее спасибо!))
Приложения:
Ответы
Автор ответа:
0
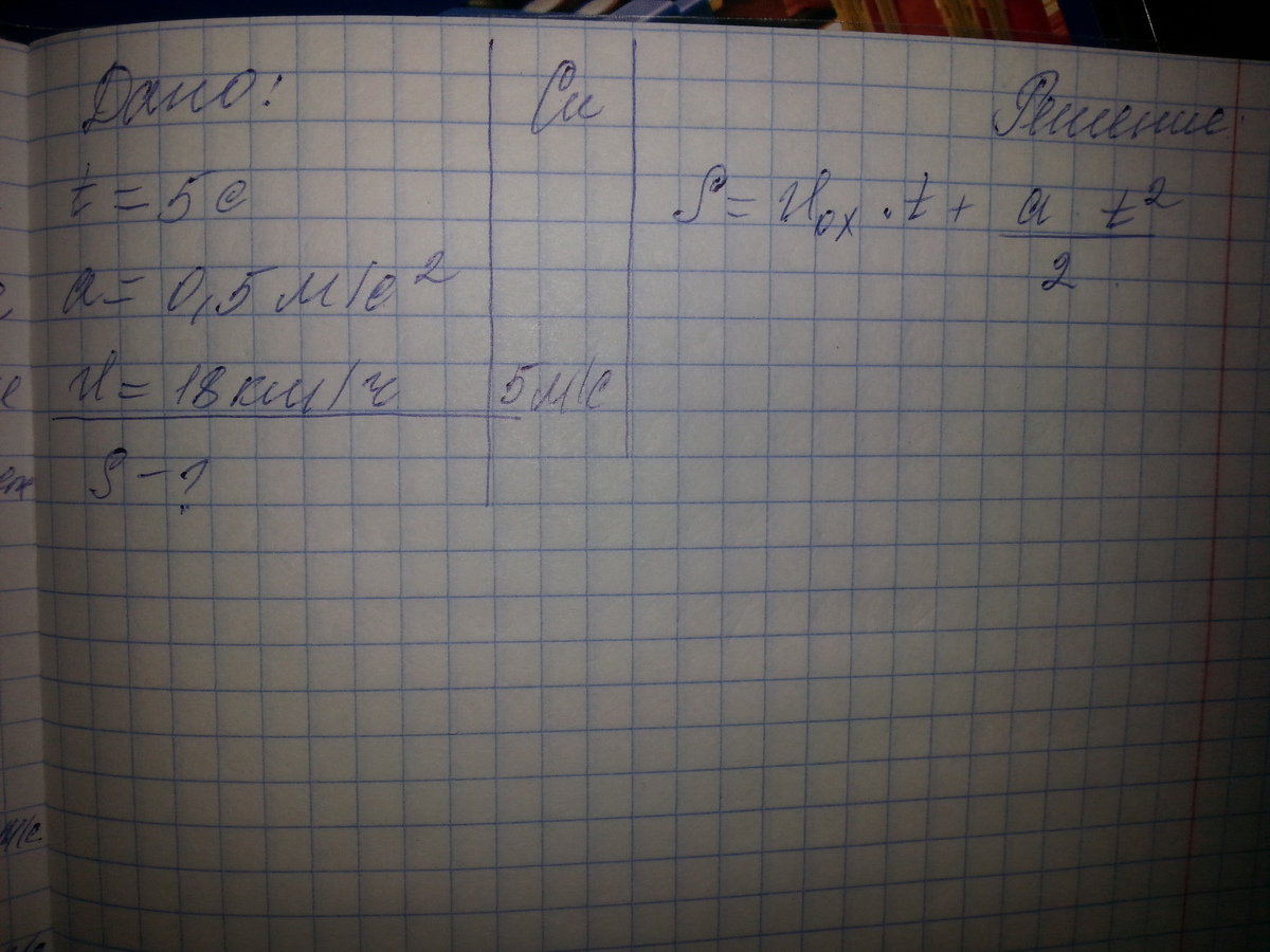
Скорее всего, по условию задачи тело трогалось с места, значит V0=0
Ну и дальше по формуле


м
Ответ: S=6.25 м
Ну и дальше по формуле
Ответ: S=6.25 м
Автор ответа:
0
Спасибо!
Автор ответа:
0
Сначала найдем u0:
U=U0+at
U0=18*1000/3600+0,5*5
Далее найдем s по формуле, которая уже записана в тетради:
S=U0t+att/2
U=U0+at
U0=18*1000/3600+0,5*5
Далее найдем s по формуле, которая уже записана в тетради:
S=U0t+att/2
Похожие вопросы
Предмет: Обществознание,
автор: GemingRush
Предмет: Математика,
автор: Аноним
Предмет: Математика,
автор: sayuriko
Предмет: Математика,
автор: Детка05