Предмет: Геометрия,
автор: Виолетта1997
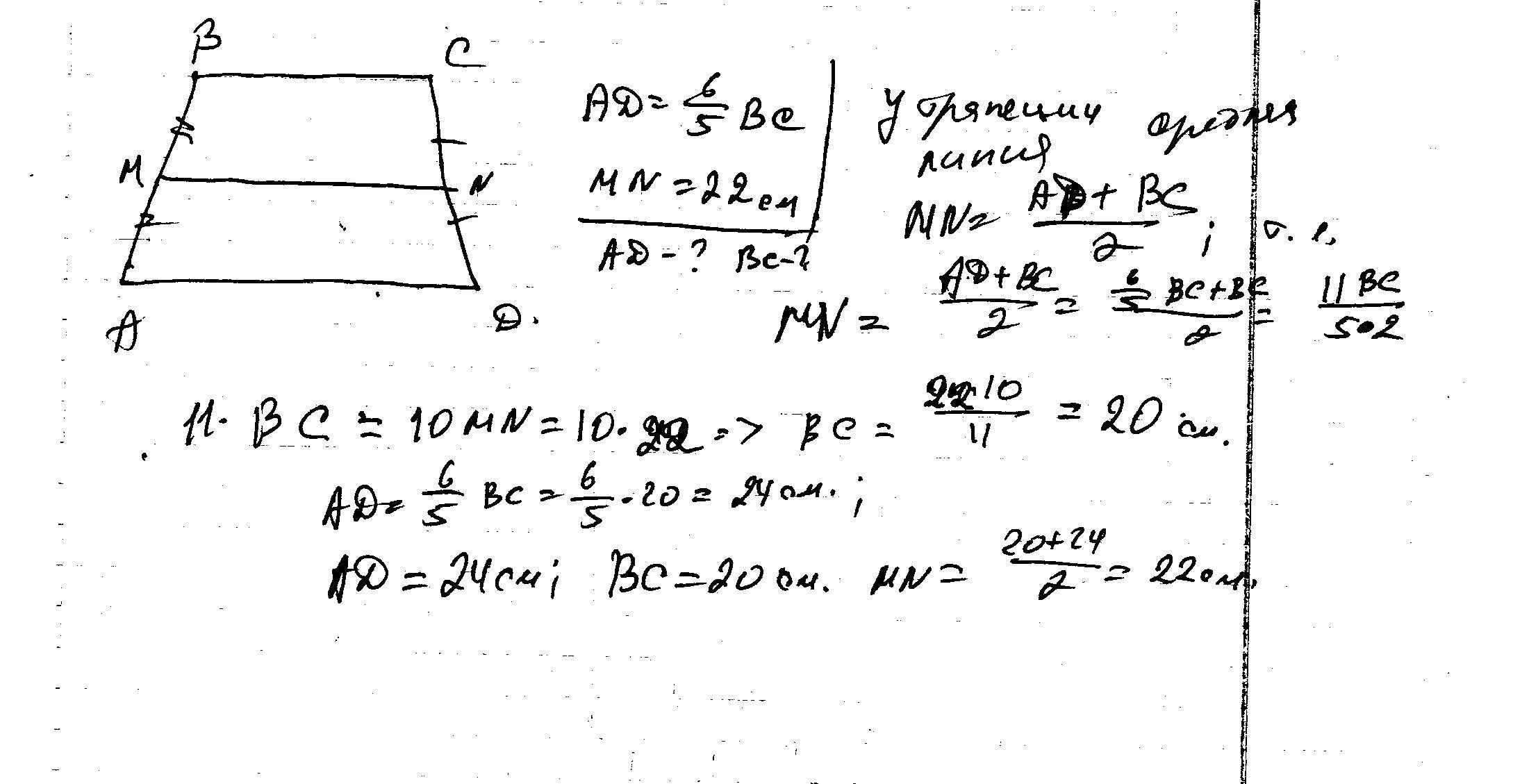
основания трапеции относятся как 5:6, а средняя линия равна 22 см. Найти основание трапеции
Ответы
Автор ответа:
0
решение в скане..............
Приложения:
Похожие вопросы
Предмет: Математика,
автор: Аноним
Предмет: Химия,
автор: Аноним
Предмет: Қазақ тiлi,
автор: hicedasha
Предмет: Математика,
автор: tanya1454
Предмет: Алгебра,
автор: Darya041