Предмет: Математика,
автор: LadySmail
Помогите пожалуйста ..
Приложения:
Ответы
Автор ответа:
0
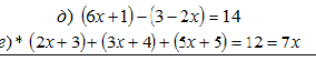
(6х + 1) - (3 - 2х) = 14
6х + 1 - 3 - 2х = 14
6х - 2х = 14 - 1 + 3
4х = 16
х = 4
6х + 1 - 3 - 2х = 14
6х - 2х = 14 - 1 + 3
4х = 16
х = 4
Похожие вопросы
Предмет: Алгебра,
автор: temirbaevaalua
Предмет: Математика,
автор: milakaranova2626
Предмет: Алгебра,
автор: samsonovter
Предмет: Математика,
автор: stellakrasavit