Предмет: Алгебра,
автор: alisalisa24
Помогите плииз, очень надо. х- это какое число?
Приложения:
Ответы
Автор ответа:
0
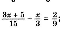
бщий знаменатель равняется 45, потому что на него свободно делятся все знаменатели (пишу сокращенно и сразу с решением, так как мне влом всё расписывать)
3(3x+5)-15x=5*2
9x+15-15x=10
-6x=10-15
-6x=-5
x=
3(3x+5)-15x=5*2
9x+15-15x=10
-6x=10-15
-6x=-5
x=
Автор ответа:
0
хорошо
Похожие вопросы
Предмет: Русский язык,
автор: sabinapolykova
Предмет: Биология,
автор: Аноним
Предмет: Русский язык,
автор: vadim22122
Предмет: Математика,
автор: victoricorh