Предмет: Алгебра,
автор: Аноним
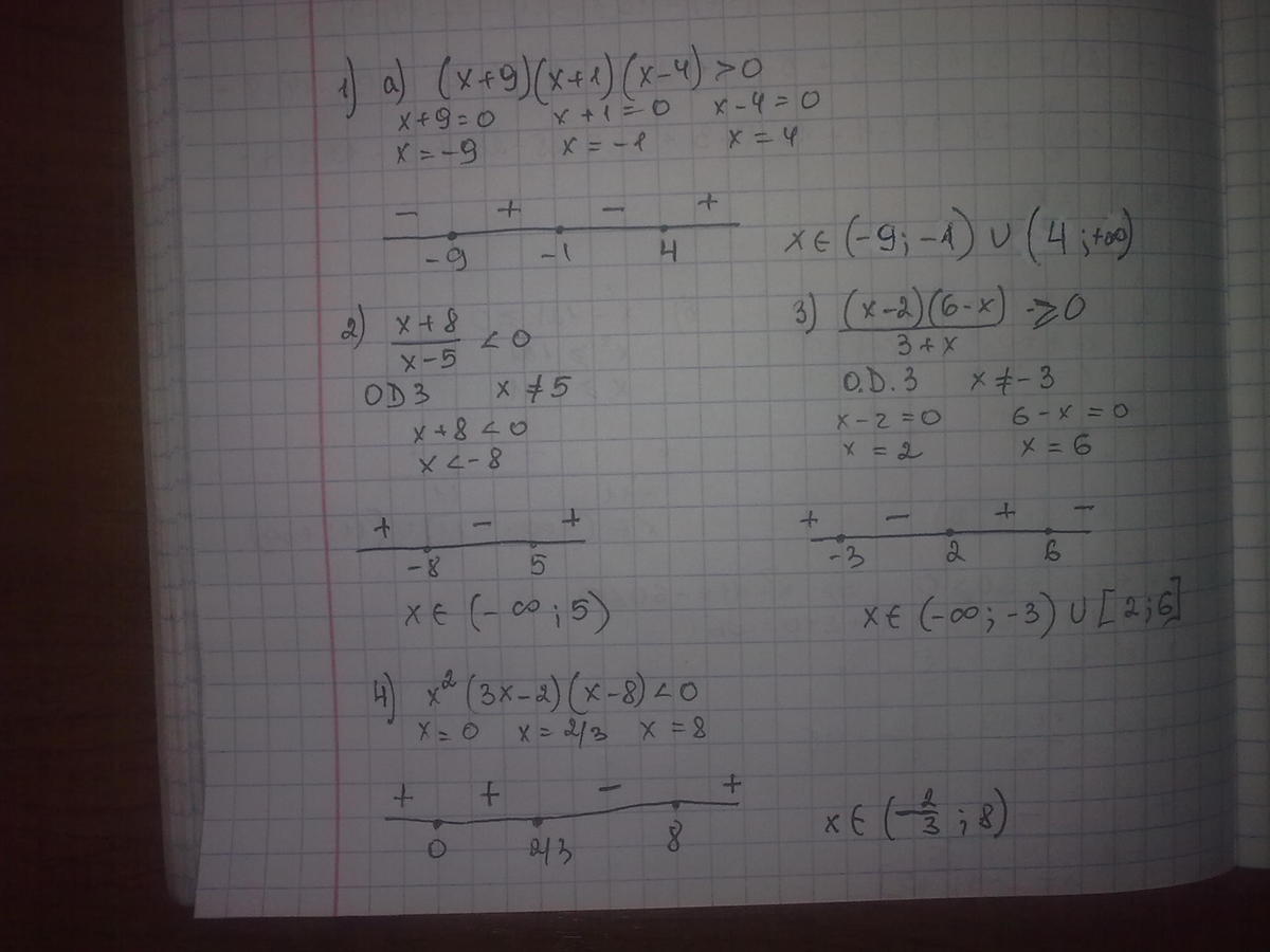
Решить только 2 вариант весь вложение внутри
Приложения:
Ответы
Автор ответа:
0
Решение смотри во вложении:
Приложения:
Похожие вопросы
Предмет: Математика,
автор: werrewzhukov
Предмет: Экономика,
автор: Zvezdanomer2
Предмет: Литература,
автор: alisavina04
Предмет: Математика,
автор: 123456789101112егор