Предмет: Алгебра,
автор: vLaaDaa
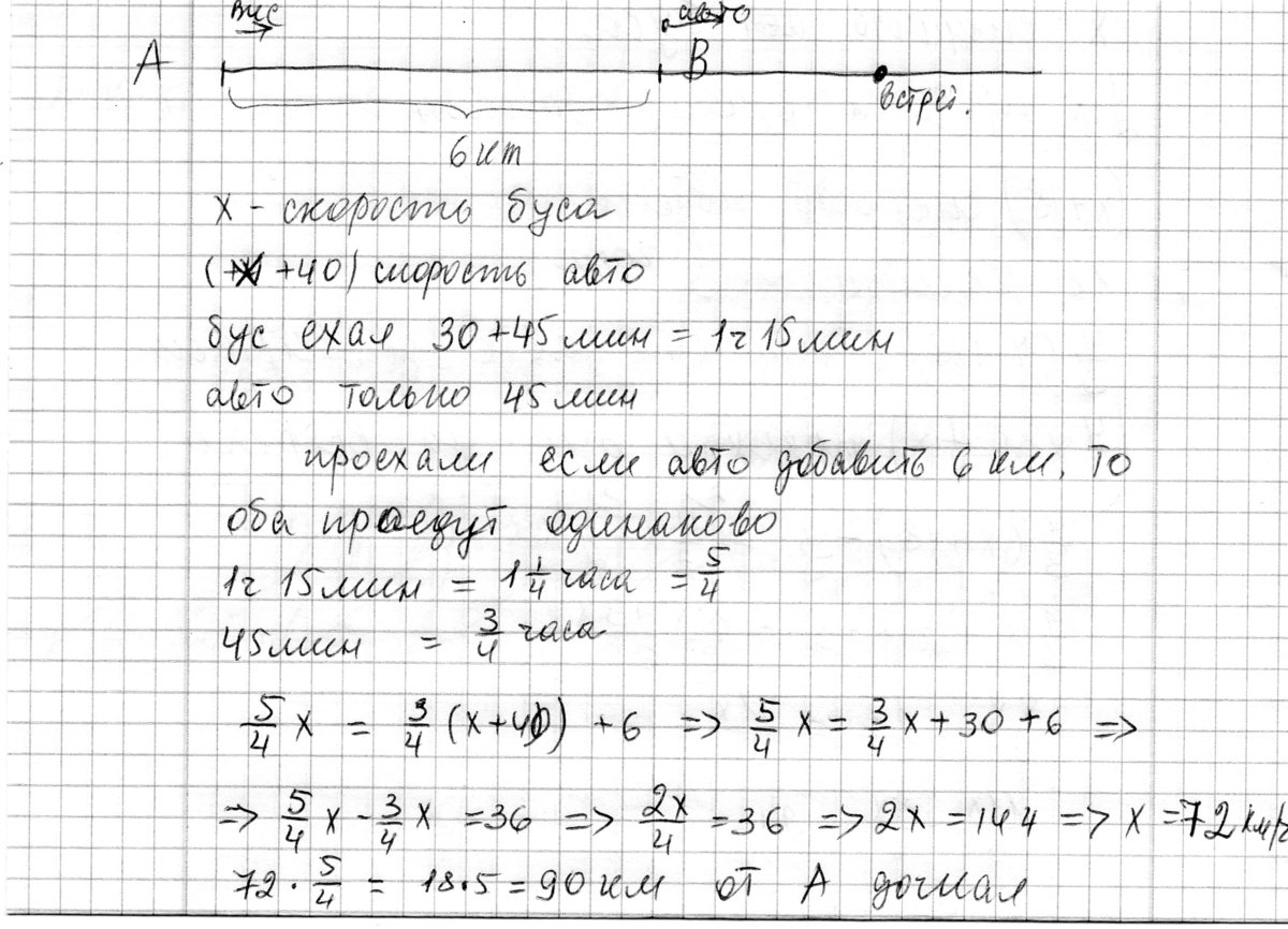
Из пунктов А выехал автобус. Через полчаса вслед за ним из пункта В, отстоящего от пункта А на 6 км, выехал автомобиль и через 45 мин догнал автобус. На каком расстоянии от пунктап А автомобиль догнал автобус, если его скорость на 40 км/ч больше скорости автобуса? (Рассмотрите два случая)
Ответы
Автор ответа:
0
решение в подвеске,если подвесится
второй случай.если пункт в и а поменять местами.ссейчас соображу
Приложения:
Похожие вопросы
Предмет: История,
автор: razumovaliza89
Предмет: Қазақ тiлi,
автор: saipidinaskarrov007
Предмет: Математика,
автор: max8924
Предмет: Биология,
автор: Akado