Предмет: Математика,
автор: aleksandra5613
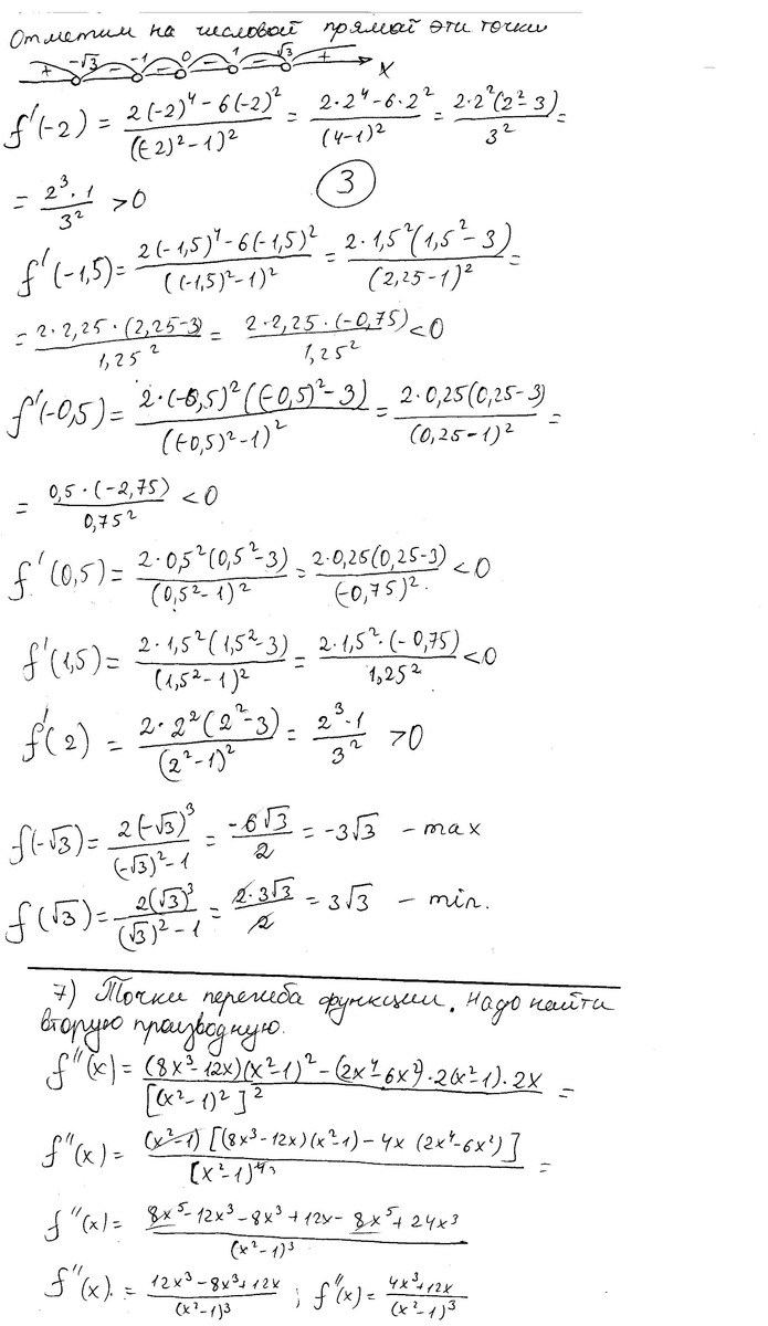
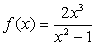
Исследуйте функцию и постройте ее график.
Приложения:
Ответы
Автор ответа:
0
Решение смотри во вложениях. Должно быть понятно
Приложения:
Похожие вопросы
Предмет: Українська мова,
автор: uliakrivogub
Предмет: Биология,
автор: Аноним
Предмет: Математика,
автор: ksusababkina15
Предмет: Литература,
автор: polishka1104