Предмет: Алгебра,
автор: морковка111
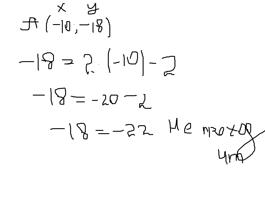
6.А) Постройте график
функции у=2х-2.
Б) Определите , проходит ли график функции
через точку А(-10;-18) ?
Ответы
Автор ответа:
0
не проходит график у=2х-2 через точку А(-10 и -18)
Приложения:
Похожие вопросы
Предмет: Математика,
автор: gleb9193
Предмет: Алгебра,
автор: denusbalanyuk49
Предмет: Другие предметы,
автор: Sergo2281337Yt
Предмет: Литература,
автор: Маша770770
Предмет: Обществознание,
автор: Лучанка