Предмет: Алгебра,
автор: МотоМото
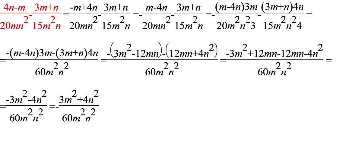
Выполните действия: 4n-m 3m+n
____ - ______
20mn^2 15m^2n
Ответы
Автор ответа:
0
===================================================
Приложения:
Похожие вопросы
Предмет: Математика,
автор: Аноним
Предмет: Литература,
автор: Аноним
Предмет: Литература,
автор: SJ28
Предмет: Обществознание,
автор: mkras
Предмет: Химия,
автор: Romjkee