Предмет: Алгебра,
автор: 123artyom321
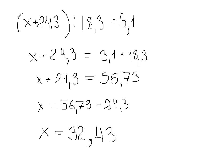
Сколько будет (X+24,3):18,3=3,1
Ответы
Автор ответа:
0
Это уравнение
В уравнении находим значение Х
В уравнении находим значение Х
Приложения:
Похожие вопросы
Предмет: Українська мова,
автор: Аноним
Предмет: Математика,
автор: vanushka7
Предмет: Математика,
автор: nhudojberdijeva
Предмет: Обществознание,
автор: asadullinn