Предмет: Алгебра,
автор: Аноним
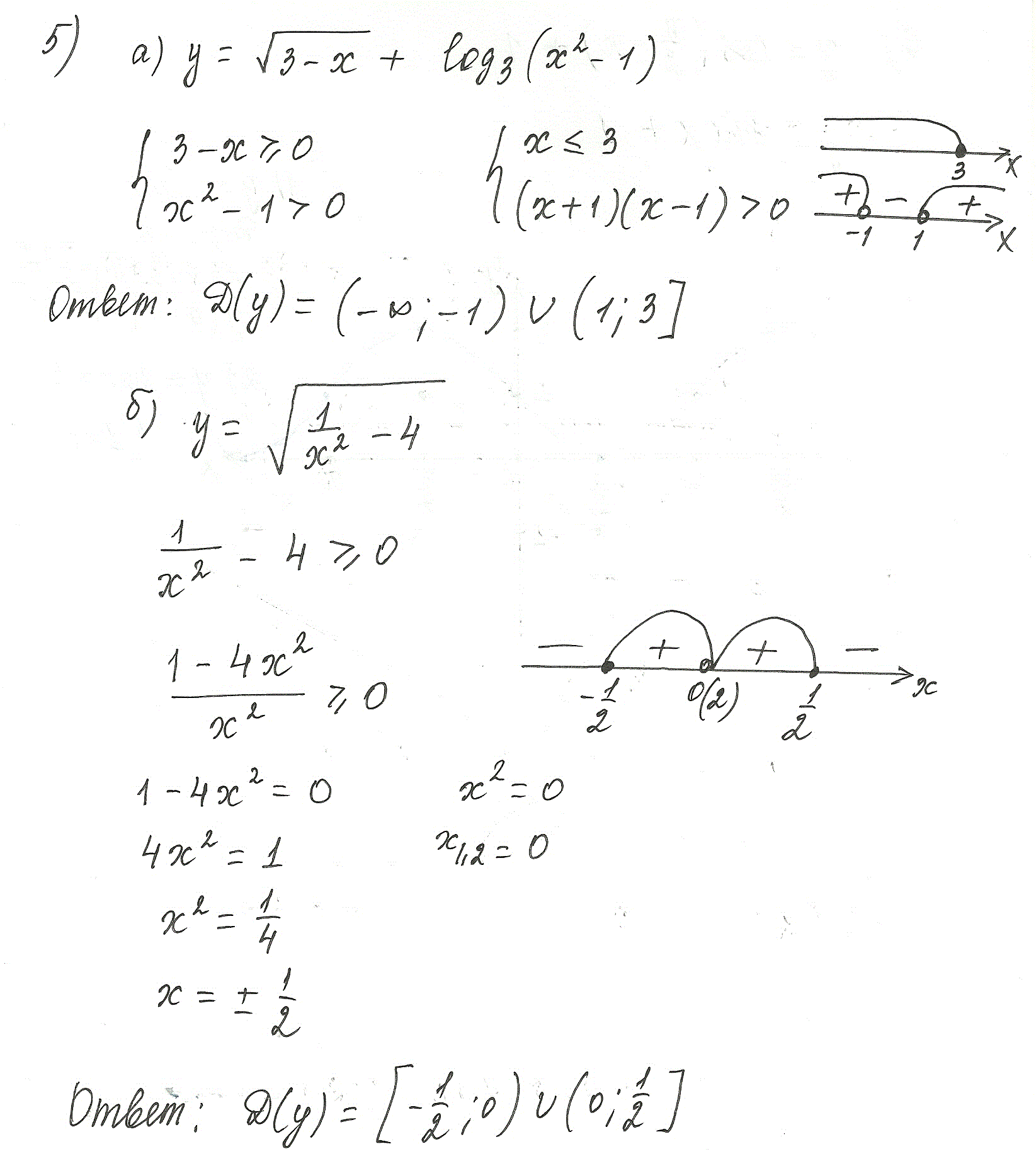
Пмогите решить пожалуйста , а то мне завтра писать самостоятельную ,а графики я плохо понимаю . Зарание огромное спасибо
Приложения:
Ответы
Автор ответа:
0
Решения в приложенных файлах
Приложения:
Похожие вопросы
Предмет: Английский язык,
автор: Kake17
Предмет: Английский язык,
автор: Boris2006
Предмет: Алгебра,
автор: vgonchrova
Предмет: Химия,
автор: ирина2100
Предмет: Алгебра,
автор: Mustafi