Предмет: Алгебра,
автор: Akula17
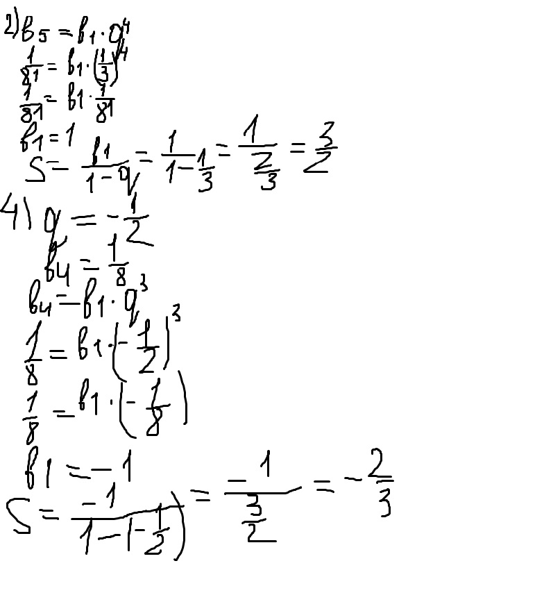
2.Найдите сумму бесконечно убывающей геометрической прогрессии
2) q= 1 в дроби сверху , а 3 снизу , b5= 1 в дроби сверху , а 81 снизу .
4) q= - 1 в дроби сверху , а снизу 2 , b4= 1 в дроби сверху ,а снизу 8 .
3. Найдите сумму бесконечно убывающей геометрической прогрессии 2) -25 , -5, -1
Ответы
Автор ответа:
0
Воттттттттттттттттттттттттттт посмотри))))))))))))))))))))))))))))))))))))))))))))))))))))
Приложения:
Похожие вопросы
Предмет: Русский язык,
автор: uumit2662
Предмет: Математика,
автор: gglv
Предмет: Русский язык,
автор: nasibatasbulatova
Предмет: Обществознание,
автор: mamedovaelina