Предмет: Алгебра,
автор: 2468465
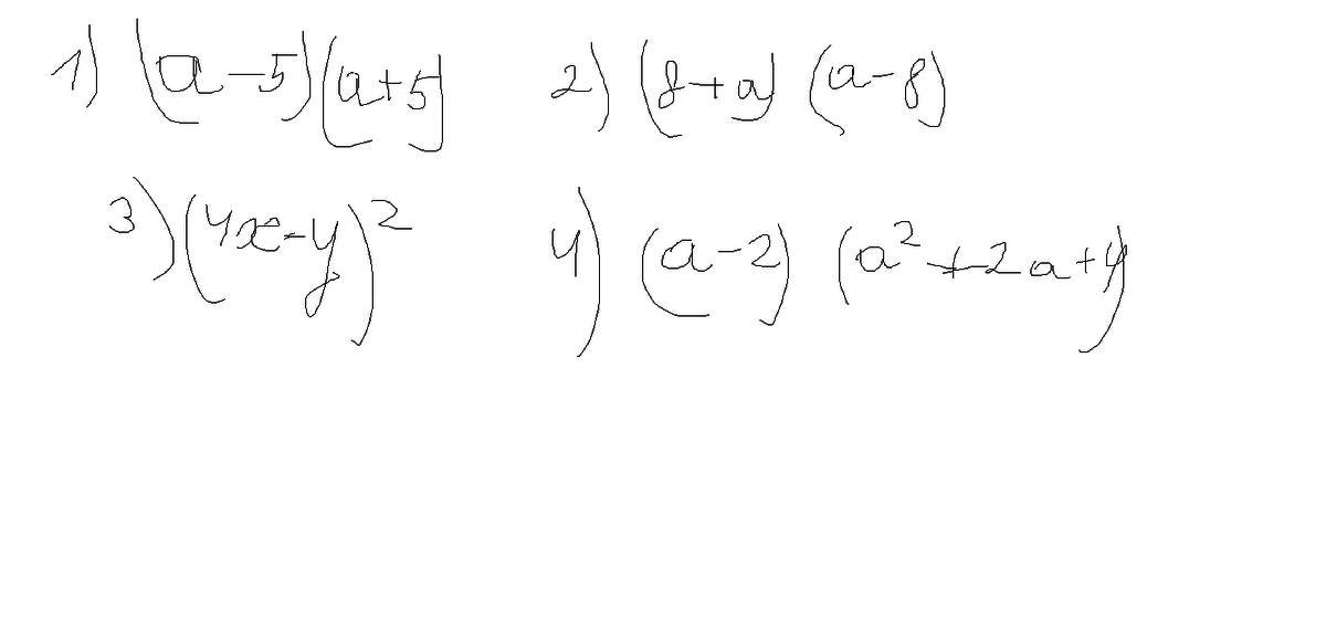
запишите в виде многочелено срочна прошу
Приложения:
Ответы
Автор ответа:
0
1) (а-5)(а+5)= a^2-25
2) (8+a)(a-8)=(a+8)(a-8)=a^2-8^2=a^2-64
3) (4x-y)^2=16x^2-8xy+y^2
4) (a-2)(a^2+2a+4)=a^3+2a^2+4a-2a^2-4a-8=a^3-8
2) (8+a)(a-8)=(a+8)(a-8)=a^2-8^2=a^2-64
3) (4x-y)^2=16x^2-8xy+y^2
4) (a-2)(a^2+2a+4)=a^3+2a^2+4a-2a^2-4a-8=a^3-8
Автор ответа:
0
1)
2)
3)
4)
Учи формулы сокращенного умножения))
2)
3)
4)
Учи формулы сокращенного умножения))
Похожие вопросы
Предмет: Английский язык,
автор: Аноним
Предмет: Қазақ тiлi,
автор: alihanashatov
Предмет: Русский язык,
автор: Аноним
Предмет: Физика,
автор: zamba00
Предмет: Геометрия,
автор: ap37