Предмет: Алгебра,
автор: bektabanov43
1.
Площадь
земель крестьянского хозяйства, отведенная для посадки злаков, составляет 168 га и распределена между
пшеницей и рожью в отношении 3:4. Сколько га отведено под пшеницу?
2.
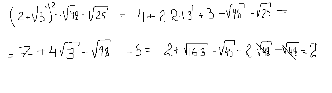
Приложения:
Ответы
Автор ответа:
0
Ответы смотри в приложенном файле
Приложения:
Похожие вопросы
Предмет: Алгебра,
автор: anastasiabebiseva
Предмет: Литература,
автор: Skrepochka620
Предмет: География,
автор: Аноним
Предмет: Алгебра,
автор: neznakomozka