Предмет: Алгебра,
автор: Аноним
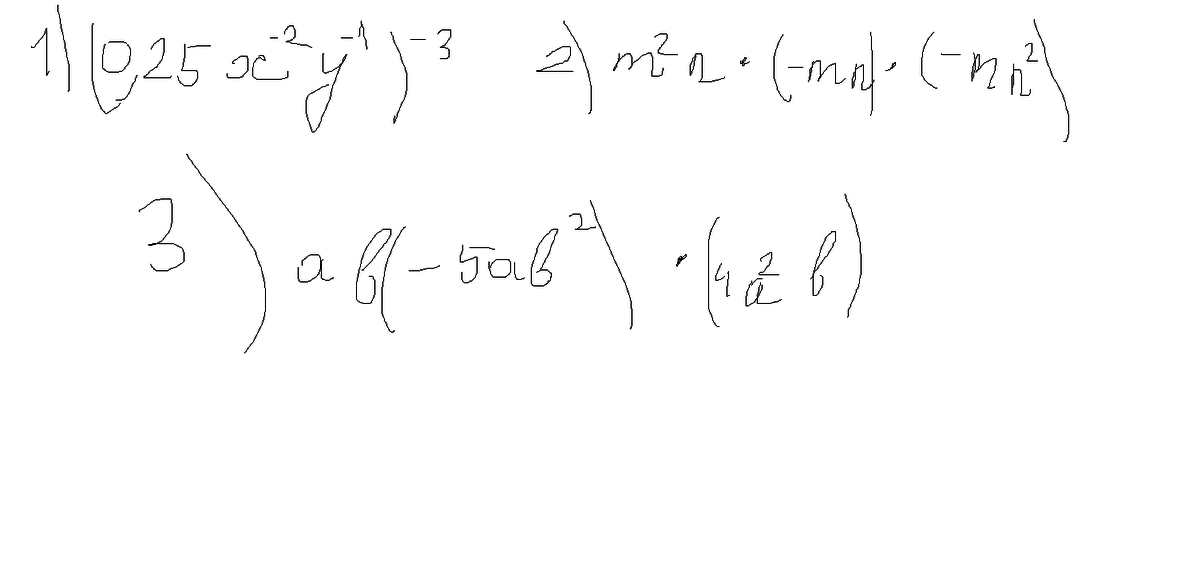
упростите выражения прошу завтра урок
Приложения:
Ответы
Автор ответа:
0
1) -0,4х2у * (-10ху2) = 4х3у3
2) -0,2а3в4 * 5 а2 в7 = - а5в7
4) я не уверена в правильности ответа, т.к школу закончила давно, а ребенок учится в 5 классе , получилось так :
твой пример = 16² * 1/х(в шестой) * а(в шестой) =
а (в восьмой) 4³
х (в шестой)
= 256 * х(в шестой) * а (в шестой) = 4/а²
а (в восьмой) х(в шестой)*64
2) -0,2а3в4 * 5 а2 в7 = - а5в7
4) я не уверена в правильности ответа, т.к школу закончила давно, а ребенок учится в 5 классе , получилось так :
твой пример = 16² * 1/х(в шестой) * а(в шестой) =
а (в восьмой) 4³
х (в шестой)
= 256 * х(в шестой) * а (в шестой) = 4/а²
а (в восьмой) х(в шестой)*64
Похожие вопросы
Предмет: Музыка,
автор: 38539732
Предмет: Обществознание,
автор: elizavetaivanova0102
Предмет: Геометрия,
автор: zanj23
Предмет: Биология,
автор: seva1221
Предмет: Биология,
автор: Leisans