Предмет: Алгебра,
автор: kristinamathematics
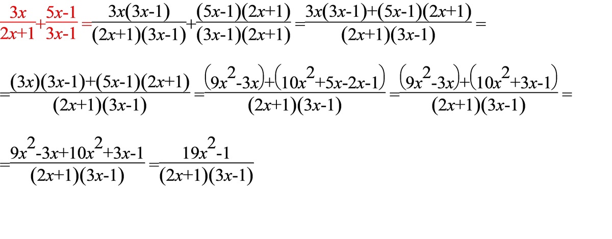
Пользуясь основным свойством дроби, не по действиям, Спасибо!
Ответы
Автор ответа:
0
================================================
Приложения:
Похожие вопросы
Предмет: Обществознание,
автор: viktoriakozaruk8
Предмет: Математика,
автор: kampitmon2007i
Предмет: Математика,
автор: seitek73
Предмет: Физика,
автор: МилашКоу
Предмет: Химия,
автор: Iluzka