Предмет: Алгебра,
автор: Ребенок13
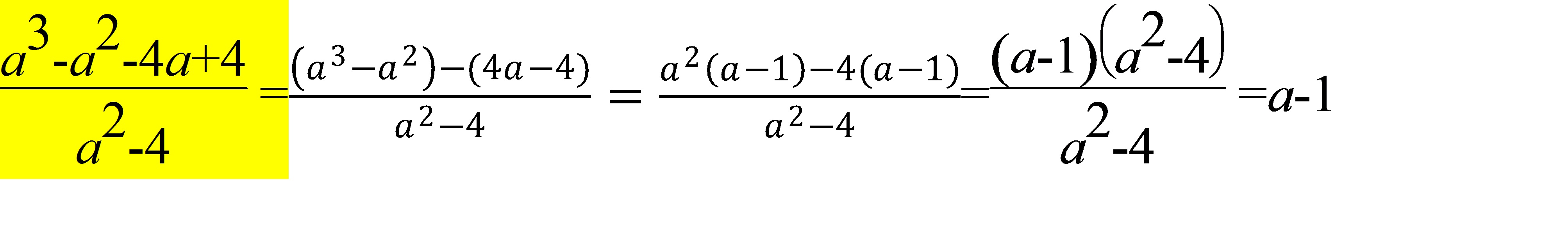
решить так чтоб ответ получился а-1:a в кубе-a в квадрате-4a+4/a в квадрате -4.Заранее спасибо!!!
Ответы
Автор ответа:
0
=========================================================
Приложения:
Похожие вопросы
Предмет: Другие предметы,
автор: marichka180408
Предмет: Химия,
автор: Moriki0Doriki
Предмет: Литература,
автор: ny83926
Предмет: Алгебра,
автор: ZMarieZ
Предмет: Алгебра,
автор: blackcats