Предмет: Алгебра,
автор: Zaika9916
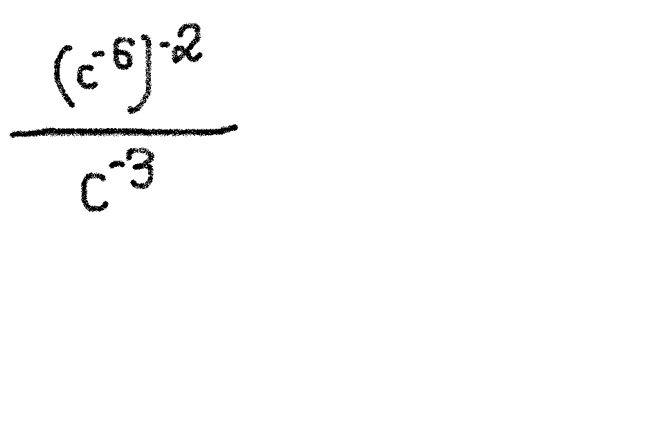
представьте выражение в виде степени с основанием с
Приложения:
Ответы
Автор ответа:
0
Если я конечно правильно понял задание
Приложения:
Автор ответа:
0
12-(-3)= 12+3
Похожие вопросы
Предмет: История,
автор: lg2000optimus
Предмет: Математика,
автор: vladmiheev2k157
Предмет: История,
автор: ogorodnikovtim15
Предмет: Математика,
автор: kyzapaha