Предмет: Алгебра,
автор: azizmusoev
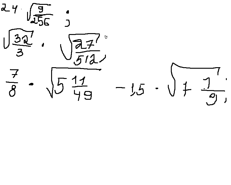
Найдите значение выражения: я написал 3 примера пожалуеста помогите.Алгебра 8 класс
Приложения:
Ответы
Автор ответа:
0
√9/256=3/16
√32/3*√27/512=√(32*27/3*512)=√9/16=3/4
7/8*√5 11/49-1.5*√7 1/9=7/8*√256/49-1,5*√64/9=7/8*16/7-15/10*8/3=2-4=-2
√32/3*√27/512=√(32*27/3*512)=√9/16=3/4
7/8*√5 11/49-1.5*√7 1/9=7/8*√256/49-1,5*√64/9=7/8*16/7-15/10*8/3=2-4=-2
Похожие вопросы
Предмет: Биология,
автор: Zlata257
Предмет: Информатика,
автор: KarinkaKorzinka
Предмет: Химия,
автор: axmetalty
Предмет: История,
автор: Аноним
Предмет: Обществознание,
автор: dobro48