Предмет: Алгебра,
автор: 0215412
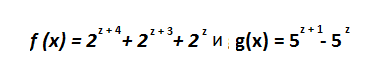
Найти все значения x, при которых функции принимают равные значения.
Приложения:
Ответы
Автор ответа:
0
Похожие вопросы
Предмет: Литература,
автор: andrejpozidaev02
Предмет: Английский язык,
автор: ulpi
Предмет: Английский язык,
автор: bakunina99
Предмет: Алгебра,
автор: Begi15
Предмет: Информатика,
автор: Аноним