Предмет: Математика, автор: californiamf

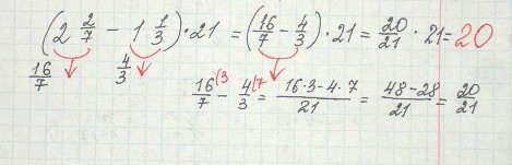
Найдите значение выражения: (2 27-1 13)*21

Ответы

Автор ответа: grubrinat
0
(2 frac{2}{7}-1 frac{1}{3}  )*21= frac{16}{7}* frac{21}{1}- frac{4}{3}* frac{21}{1}=    48-28=20
Автор ответа: ПростоЛёка
0
◕‿◕◕‿◕** Решение во вложении **.◕‿◕◕‿◕
Приложения:
Похожие вопросы
Предмет: География, автор: anechkasuper