Предмет: Алгебра, автор: Аноним

Помогите решить пожалуйста

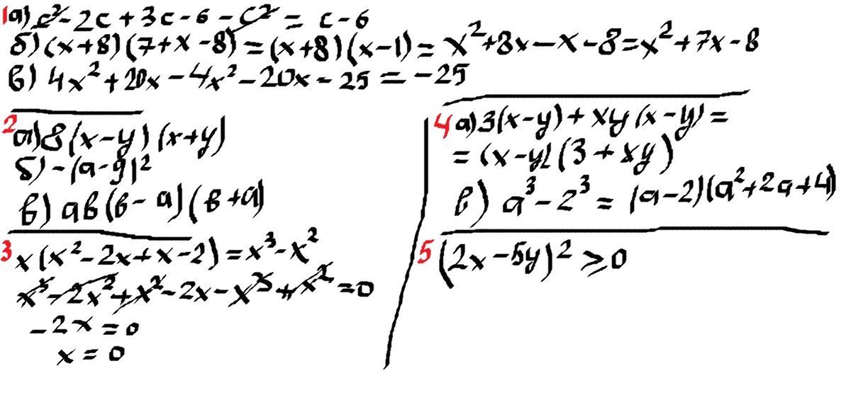
Приложения:

Ответы

Автор ответа: Луни7
0
....................................................
Приложения:
Похожие вопросы
Предмет: Алгебра, автор: banan125