Предмет: Физика, автор: mashakasatkina

движение грузового автомобиля описываеться уравнением X1=-270+12t, а движение пешехода уравнением X2=-1,5с какими скоростями и в каком напровление они двигались?когда и где они встретились?

Ответы

Автор ответа: Ильнара
0

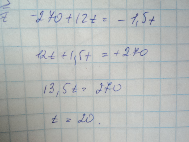
напрвление: навстречу друг другу (есть рисунок во вложении)

чтобы найти время x1=x2

 

ответ: встретятся на 20 сейкунде  и на -30 метре

Приложения:
Похожие вопросы
Предмет: Русский язык, автор: nobody2321
Предмет: Математика, автор: Yana20194
Предмет: Информатика, автор: mithka

Решите пожалуйста 2 задачи!!!

1) Расставить между цифрами знаки арифметических операций (+, -, *, :) и , если надо, скобки так чтобы ответ оказался равным 1:
1 2 3 4 5 6 7 = 1
 

2) Борисов, Кириллов, Данин и Савин – инженеры. Один из них – автомеханик, другой – химик, третий – строитель, четвертый - радиотехник. Известно, что:
1. Борисов, который обыгрывает в шахматы Данина и Кириллова, но проигрывает Савину, ходит на лыжах лучше Кириллова, который моложе его, и лучше радиотехника, посещает театр вдвое чаще, чем тот инженер, который моложе его и Кириллова;
2. Химик, который посещает театр вдвое чаще, чем автомеханик, не является самым молодым, а старше его только один из инженеров;
3. Строитель, который на лыжах ходит хуже, чем радиотехник, как правило, проигрывает в шахматных сражениях автомеханику;
4. самый старший из инженеров лучше всех играет в шахматы и чаще всех бывает в театре, а самый молодой лучше всех ходит на лыжах;
5. радиотехник – лучший шахматист и самый заядлый театрал, а автомеханик -  лучший лыжник.
Назовите профессию каждого из инженеров.
Упорядочите лыжников и шахматистов по степени мастерства, начиная с наибольшей, и инженеров по возрасту, начиная с наибольшего.