Предмет: Алгебра,
автор: venera3101
нужно решить это уравнение
Приложения:
Ответы
Автор ответа:
0
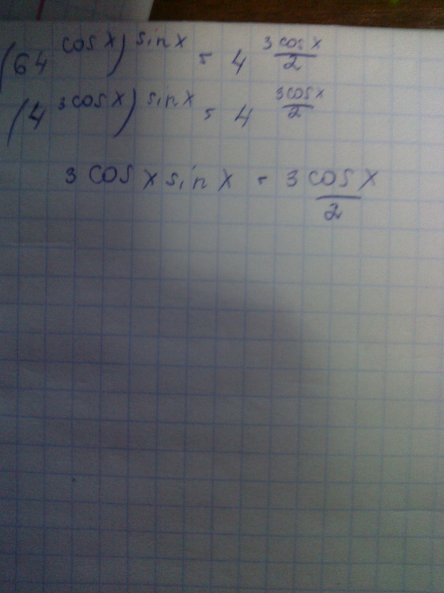
Всё решаем по формулам...
Приложения:
Автор ответа:
0
второй лист лишний. Задание одно по условию. На втором листе пропущена 3 в показателе степени - получился еще один пример, решен верно (но не нужен по условию). На первом листе все верно.
Автор ответа:
0
Посмотрите внимательно: это ОДНО и то же уравнение. Из-за того, что 3 потеряно - получился ДРУГОЙ пример. Но зачем второй лист - с таким же условием? В условии дан пример и начало его решения.
Автор ответа:
0
Во второй строчке на 2 листке потеряла 3,а решает тот же пример!
Похожие вопросы
Предмет: Информатика,
автор: fominfomin42
Предмет: Другие предметы,
автор: sofafirkina
Предмет: Алгебра,
автор: asemaika67
Предмет: Химия,
автор: rockacdc