Предмет: Алгебра,
автор: bishop1995serge
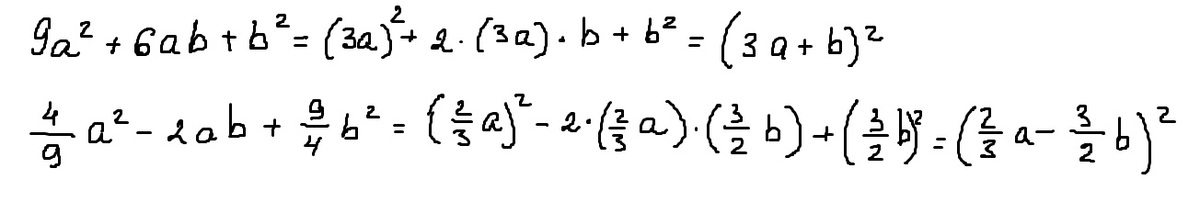
и вот 9a^2+6ab+b^2 и вот 4/9 a^2-2ab+9/4b^2 ладно
Ответы
Автор ответа:
0
(3a+b)^2
(2/3a-3/2b)^2
(2/3a-3/2b)^2
Автор ответа:
0
Если понравилось решение - нажимай "спасибо" и "лучший" (рядом с кнопкой "спасибо") :)
Приложения:
Похожие вопросы
Предмет: Математика,
автор: ulianochka16
Предмет: Другие предметы,
автор: artykovhursand274
Предмет: История,
автор: danet8678
Предмет: Физика,
автор: sheinavika99