Предмет: Алгебра,
автор: brokenangel
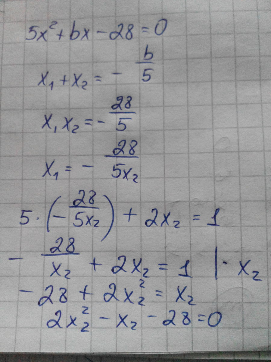
в уравнении 5х^2+bx-28=0 найдите значение b, если корни уравнения x1 и х2 находятся в зависимости 5х1+2х2=1
Ответы
Автор ответа:
0
13 вышло а второй 9.5 может ошиблась где то
Приложения:
Похожие вопросы
Предмет: История,
автор: xyrmatv
Предмет: Математика,
автор: Zheka1801kolos
Предмет: Русский язык,
автор: stemptyna2005
Предмет: Физика,
автор: Аноним
Предмет: Математика,
автор: юльча80