Предмет: Алгебра,
автор: bakunina99
Решите уравнение :
1.
Ответы
Автор ответа:
0
9x-3-4x-6=5x+15
5x-9=5x+15
-9=15
получили неверное тождество
уравнение не имеет решений
Автор ответа:
0
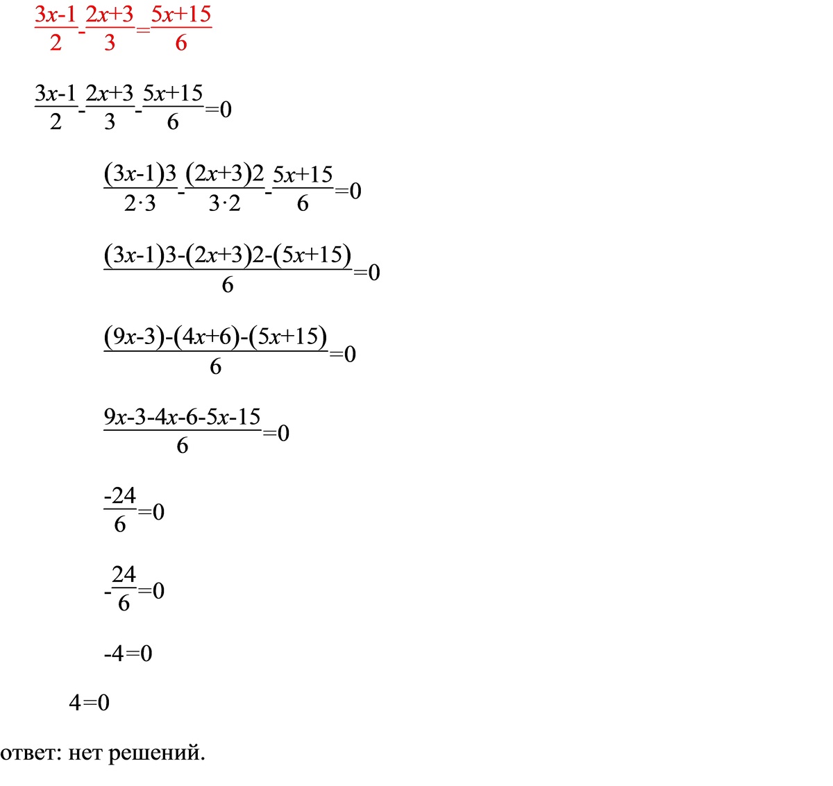
решение во вложении
-------------------------------------
Приложения:
Похожие вопросы
Предмет: Алгебра,
автор: alenatalasova
Предмет: Английский язык,
автор: martareznichenko
Предмет: Другие предметы,
автор: sirokihsofia06
Предмет: Математика,
автор: ange51lina
Предмет: Алгебра,
автор: Alex28