Предмет: Алгебра,
автор: алгееебра
помогите решить пожалуйста...
Приложения:
Ответы
Автор ответа:
0
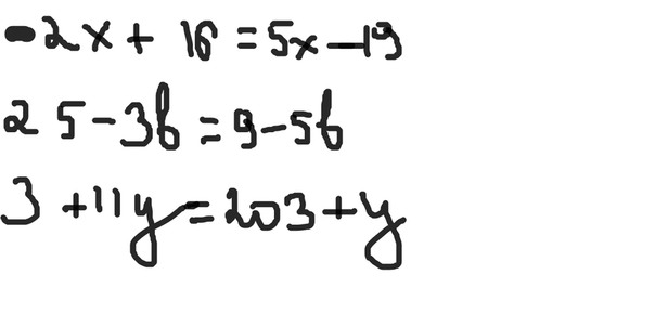
-2x + 16= 5x -19
-2x - 5x = -16 -19
-7x =-35
x = 35/7
x = 5
25 -3b = 9 -5b
-3b +5b = 9 -25
2x = -16
x = -16/2
x = -8
3 + 11y = 203 +y
11y -y = 203 -3
10y = 200
y = 200/10
y = 20
-2x - 5x = -16 -19
-7x =-35
x = 35/7
x = 5
25 -3b = 9 -5b
-3b +5b = 9 -25
2x = -16
x = -16/2
x = -8
3 + 11y = 203 +y
11y -y = 203 -3
10y = 200
y = 200/10
y = 20
Похожие вопросы
Предмет: Алгебра,
автор: goobaaaa
Предмет: Информатика,
автор: Alish333
Предмет: Геометрия,
автор: alin4ik128
Предмет: Геометрия,
автор: miss12345
Предмет: География,
автор: vandadada