Предмет: Алгебра,
автор: aeenastya
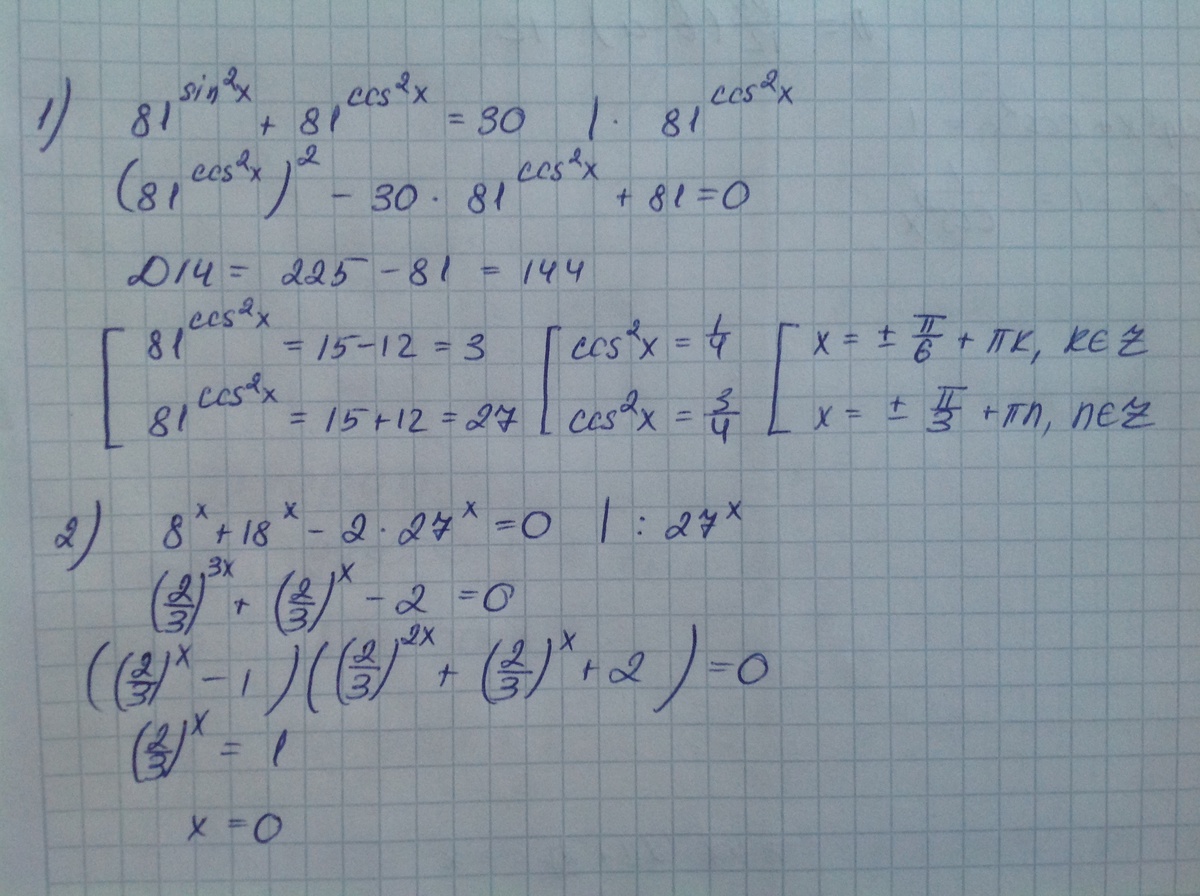
Помогите решить(( номер 7 и 9
Приложения:
Ответы
Автор ответа:
0
Вроде быкак то вот так получается
Приложения:
Похожие вопросы
Предмет: Алгебра,
автор: maksmaksimageev
Предмет: Биология,
автор: lizapriner
Предмет: Математика,
автор: paulipop
Предмет: Литература,
автор: Ариша24
Предмет: Биология,
автор: xyjiigahkaalen