Предмет: Математика,
автор: 310313
Подробно пожалуйста!
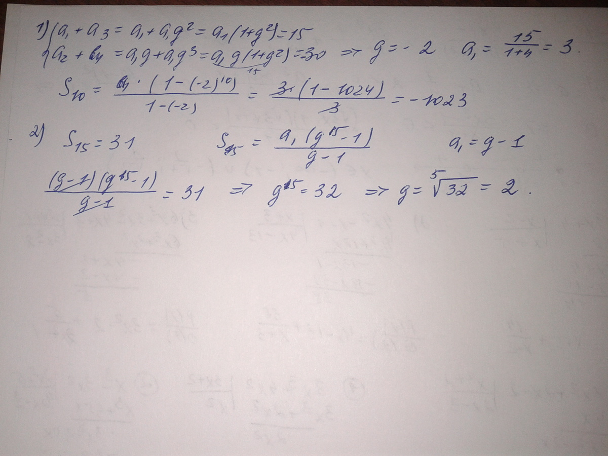
1) Сумма первого и третьего членов геометрической прогрессии равна 15, а сумма второго и четвертого -30. Найдите сумму первых десяти членов прогрессии.
2) Сумма первых пяти членов геометрической прогрессии равна 31. Первый член на единицу меньше знаменателя прогрессии. Найдите знаменатель.
Ответы
Автор ответа:
0
...............................................
Приложения:
Похожие вопросы
Предмет: Алгебра,
автор: kyandimirova
Предмет: Обществознание,
автор: d275874
Предмет: Литература,
автор: gergievakristina5
Предмет: География,
автор: Slyyyyyyy