Предмет: Математика,
автор: TanjaP
пожалуйста помогите решить
Приложения:
Ответы
Автор ответа:
0
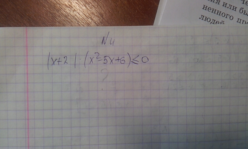
хПриравниваем каждую из скобок к нулю.
Из первой получаем х = -2
Из второй получаем x^2 -5x + 6 = 0
x1 + x2 = 5
x1*x2 = 6
x1 = 3
x2 = 2
Итого, имеем три корня x = -2, х = 2 и х = 3
Методом пробной точки находим знаки.
- (-2) + 2 - 3 +
Нам надо <= 0
Поэтому ответ: x <= -2 и 2 <= x <= 3
Из первой получаем х = -2
Из второй получаем x^2 -5x + 6 = 0
x1 + x2 = 5
x1*x2 = 6
x1 = 3
x2 = 2
Итого, имеем три корня x = -2, х = 2 и х = 3
Методом пробной точки находим знаки.
- (-2) + 2 - 3 +
Нам надо <= 0
Поэтому ответ: x <= -2 и 2 <= x <= 3
Похожие вопросы
Предмет: Українська мова,
автор: ashimanskayaa1
Предмет: Қазақ тiлi,
автор: Аноним
Предмет: Обществознание,
автор: Dmr2
Предмет: Математика,
автор: qwertyuiopasdfffff
Предмет: Физика,
автор: ЮльчитайчикАА