Предмет: Математика,
автор: kazarianroz
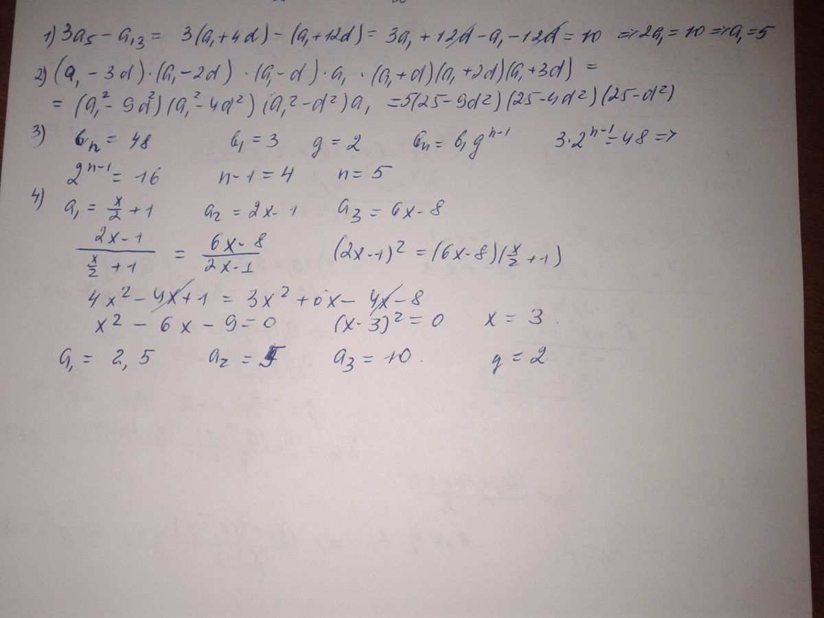
3a5 - a13=10
1)Найти аn арифм. прогрессии первый член
2)Найти произведение первых 7 членов данной прогресии
3)Найти bn геометр. прогрессии для данного члена который=48, b1=3, q=2
4)Найти х если дробь х/2 +1, 2х-1, 6х-8 ,последовательность геометр. прогрессии
Ответы
Автор ответа:
0
/////////////////////////////////////////
Приложения:
Похожие вопросы
Предмет: Математика,
автор: VeronihckaKat
Предмет: Английский язык,
автор: SOANSEE
Предмет: ОБЖ,
автор: olabaranova
Предмет: Обществознание,
автор: Аноним
Предмет: Алгебра,
автор: GalimovaJ