Предмет: Математика,
автор: EXOplanetL
Помогите пожалуйста!Срочно!
Приложения:
Ответы
Автор ответа:
0
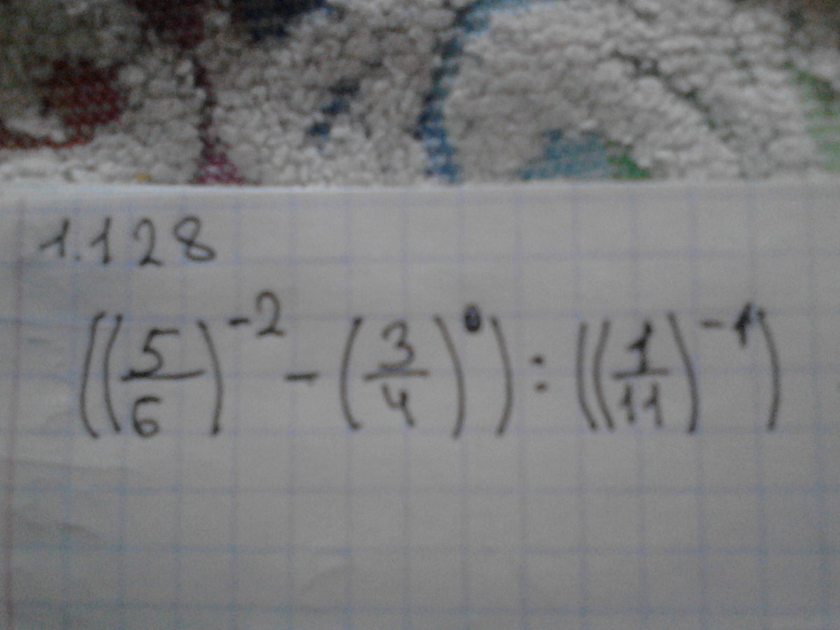
1) (5/6)^-2 = (6/5)² = 36/25
2) (3/4)^0=1
3) 36/25 - 1 = 36/25 - 25/25 = 11/25 = 0,44
4) (1/11)^-1=(11/1)^1=11/1=11
5) 0,44:11=0,04
2) (3/4)^0=1
3) 36/25 - 1 = 36/25 - 25/25 = 11/25 = 0,44
4) (1/11)^-1=(11/1)^1=11/1=11
5) 0,44:11=0,04
Похожие вопросы
Предмет: География,
автор: narimanovislam9
Предмет: Физика,
автор: NastyaLisgrin
Предмет: Геометрия,
автор: davletkyzyaisuluu
Предмет: Математика,
автор: znak1