Предмет: Алгебра,
автор: Менгск
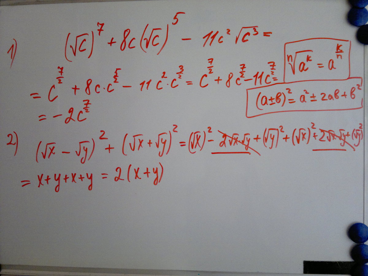
√c в 7 степени+8c √c в 5 степени - 11c² √c³
(√x-√y)²+(√x+√y)²
(x²-2√x·y²)+(x²+2√x·y+y²)
Все эти три примера нужно упростить.Простите если непонятно написано.
Ответы
Автор ответа:
0
Решение на фото, которое прикреплено
просмотри 3 задание..там точно такое условие?если сможешь сфоткай
просмотри 3 задание..там точно такое условие?если сможешь сфоткай
Приложения:
Похожие вопросы
Предмет: Математика,
автор: sdfhh79
Предмет: Математика,
автор: ZheleznyakOla
Предмет: Химия,
автор: bitkinakatrina760
Предмет: Математика,
автор: samsonovaolga27