Предмет: Алгебра,
автор: romledfghrhrhttrh
решите уравнение
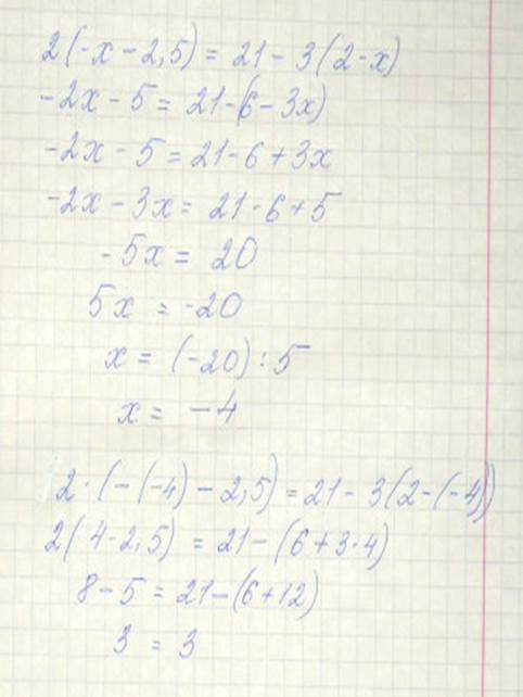
2 (-x - 2.5) = 21 - 3 (2-x)
Ответы
Автор ответа:
0
`•. ¸ (¯ `•. • '¯) ¸. •
`• ¸ • ☆ ° '° ☆ ¸ ¸ ¸ ¸ .... ★ •' ¯` •. -.> ❥
┊ ┊ ┊ * Решение во вложении.
┊ ┊ ☆
┊ ★
★
`• ¸ • ☆ ° '° ☆ ¸ ¸ ¸ ¸ .... ★ •' ¯` •. -.> ❥
┊ ┊ ┊ * Решение во вложении.
┊ ┊ ☆
┊ ★
★
Приложения:
Похожие вопросы
Предмет: География,
автор: sliberman
Предмет: Химия,
автор: Pooooooop
Предмет: Математика,
автор: putin25809
Предмет: Алгебра,
автор: fjnhdshnf
Предмет: Алгебра,
автор: alex15012033