Предмет: Алгебра,
автор: Аноним
Помогите пожалуйста со всеми заданиями буду очень благодарна в полном решении спасибо
Приложения:
Ответы
Автор ответа:
0
Привет! Лови отсканированный файл.
Приложения:
Автор ответа:
0
Мне просто интересно..А ответы у Вас с моими совпали и все?
Автор ответа:
0
Да, ответы на все задания совпали.
Автор ответа:
0
Спасибо
Автор ответа:
0
1)(х-3)²-(х+1)²=12
х²-6х+9-(х²+2х+1)=12
-6х+9-2х-1=12
-8х+8=12
-8х=12-8
-8х=4
х=-48=-0,5
2)(3х-2)²+(1-3х)(3х+2)=36
9х²-12х+4+3х-9х²+2-6х=36
-15х+6=36
-15х=36-6
-15х=30
х=-3015
х=-2
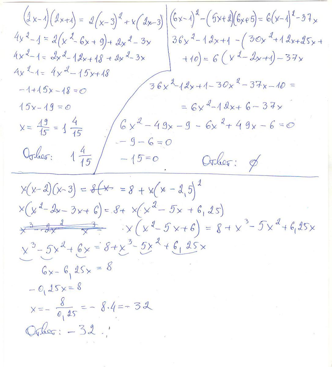
3)х*(х-2)(х-3)=8+х(х-2,5)²
х*(х²-2х-3х+6)=8+х*(х²-5х+6,25)
х*(х²-5х+6)=8+х³-5х²+6,25х
х³-5х²+6х=8+х³-5х²+6,25х
6х=8+6,25х
6х-6,25х=8
-0,25х=8
х=-(8 ,25)
х=-32
4)(6х-1)²-(5х+2)(6х+5)=6*(х-1)²-37х
36х²-12х+1-(30х²+12х+25х+10)=6*(х²-2х+1)-37х
36х²-12х+1-(30х²+37х+10)=6х²-12х+6-37х
36х²-12х+1-30х²-37х-10=6х²-49х+6
6х²-49х-9=6х²-49х+6
Решений нет
5)(2x-1)(2х+1)=2*(х-3)²+х*(2х-3)
4х²-2х+2х-1=2*(х²-6х+9)+2х²-3х
4х²-1=2х²-12х+18+2х²-3х
4х²-1=4х²-15х+18
-1=-15х+18
-15х+18=-1
-15х=-1-18
-15х=-19
х=1915
х²-6х+9-(х²+2х+1)=12
-6х+9-2х-1=12
-8х+8=12
-8х=12-8
-8х=4
х=-48=-0,5
2)(3х-2)²+(1-3х)(3х+2)=36
9х²-12х+4+3х-9х²+2-6х=36
-15х+6=36
-15х=36-6
-15х=30
х=-3015
х=-2
3)х*(х-2)(х-3)=8+х(х-2,5)²
х*(х²-2х-3х+6)=8+х*(х²-5х+6,25)
х*(х²-5х+6)=8+х³-5х²+6,25х
х³-5х²+6х=8+х³-5х²+6,25х
6х=8+6,25х
6х-6,25х=8
-0,25х=8
х=-(8 ,25)
х=-32
4)(6х-1)²-(5х+2)(6х+5)=6*(х-1)²-37х
36х²-12х+1-(30х²+12х+25х+10)=6*(х²-2х+1)-37х
36х²-12х+1-(30х²+37х+10)=6х²-12х+6-37х
36х²-12х+1-30х²-37х-10=6х²-49х+6
6х²-49х-9=6х²-49х+6
Решений нет
5)(2x-1)(2х+1)=2*(х-3)²+х*(2х-3)
4х²-2х+2х-1=2*(х²-6х+9)+2х²-3х
4х²-1=2х²-12х+18+2х²-3х
4х²-1=4х²-15х+18
-1=-15х+18
-15х+18=-1
-15х=-1-18
-15х=-19
х=1915
Приложения:
Похожие вопросы
Предмет: Алгебра,
автор: cogege9080
Предмет: Русский язык,
автор: ekaterinarozenberg6
Предмет: Русский язык,
автор: Аноним
Предмет: Алгебра,
автор: rctybz15
Предмет: Химия,
автор: Elen555