Предмет: Математика,
автор: LexaLulikov
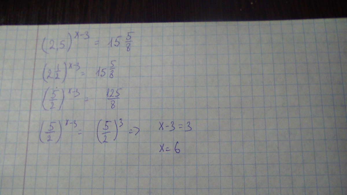
Решить уравнение (2.5) в степени х-3 =15 целых пять восьмых
Ответы
Автор ответа:
0
см фото
////////////////////
////////////////////
Приложения:
Автор ответа:
0
Здорово!Спасибо большое()))Не знал что такой сайт чудесный есть)Мне для подготовки в ВУЗ надо это...А еще примеры можете решить????
Автор ответа:
0
Надо сначала поработать над основаниями....
Приложения:
Похожие вопросы
Предмет: Алгебра,
автор: gasanovalamia296
Предмет: Русский язык,
автор: daraburdugova521
Предмет: Физика,
автор: danilkarmaenkov
Предмет: Биология,
автор: madiino4ka1995
Предмет: История,
автор: 1235433