Предмет: Геометрия,
автор: kolchik9977
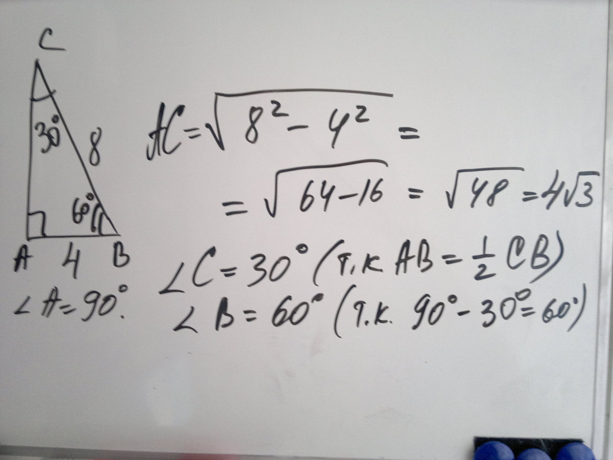
катет прямоугольника равен 4см, а гипотенуза 8 см. Найти углы треугольника и второй катет
Ответы
Автор ответа:
0
Решение на фото, которое прикреплено
Приложения:
Автор ответа:
0
Пожалуйста, обращайся)
Похожие вопросы
Предмет: Математика,
автор: nikitaherobrinzet
Предмет: Русский язык,
автор: megamusadark
Предмет: Математика,
автор: Аноним
Предмет: Физика,
автор: romandra53