Предмет: Алгебра, автор: Балганчик

Упростите выражение b^4,44/(b^3,11xb^3,33) и найдите его значение при b=sqrt5/6э

Ответы

Автор ответа: RepetitorUFA
0
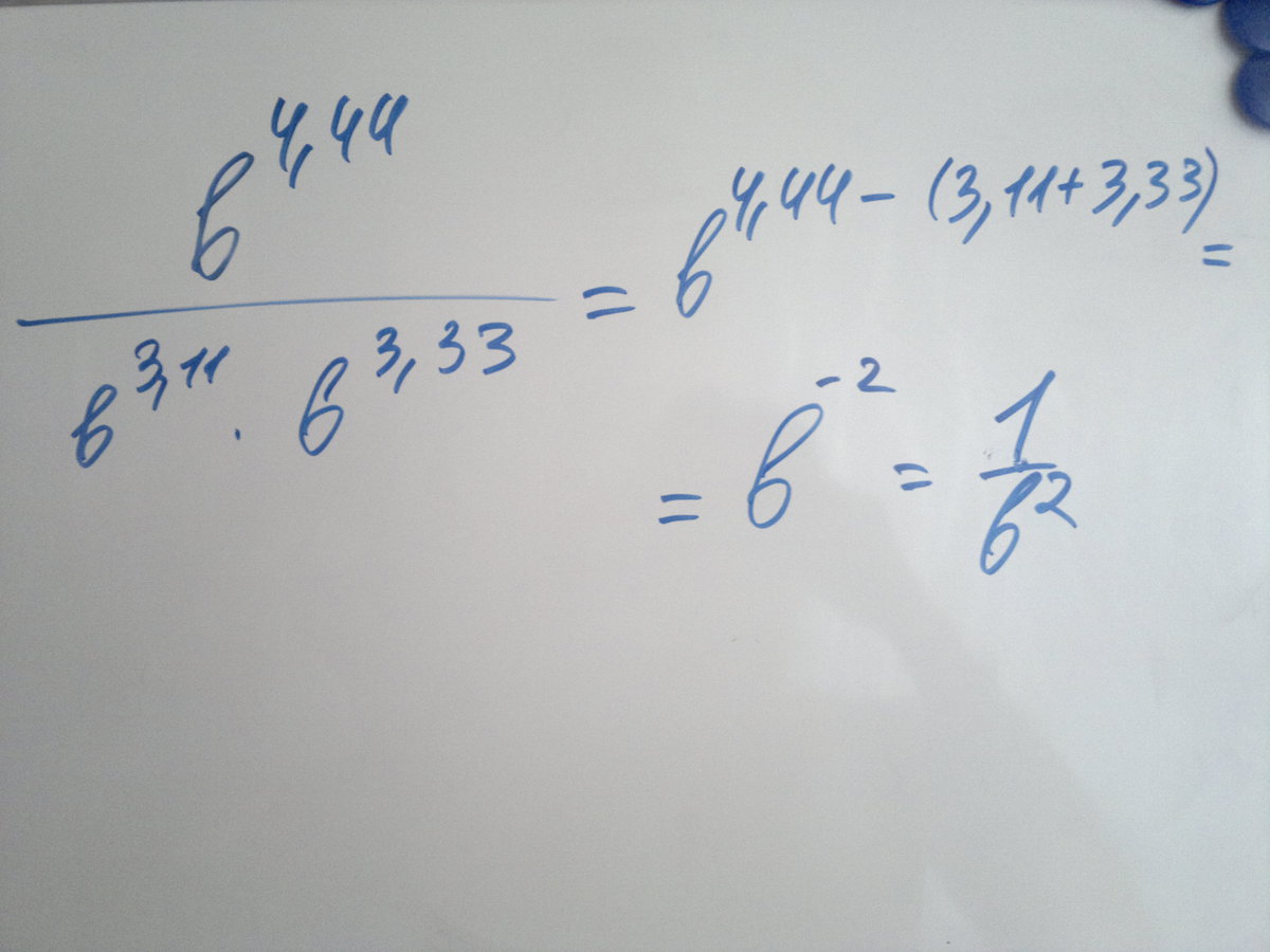
решение на фото, которое прикреплено
Приложения:
Автор ответа: Балганчик
0
Спасибо большое!!!!!
Автор ответа: Аноним
0
b^{4,44}:(b^{3,11}*b^{3,33}) =b^{4,44}:b^{6,44}=b^{-2} \ 
b= sqrt{ frac{5}{6} } ;b^{-2}=(sqrt{ frac{5}{6} } )^{-2}= frac{6}{5} =1,2 \
Приложения:
Похожие вопросы
Предмет: История, автор: margaritamertins
Предмет: Математика, автор: Аноним