Предмет: Алгебра, автор: petyx4

Помогите решить степень с отрицательным показателем. Спасибо заранее!

Приложения:

Ответы

Автор ответа: Матов
0
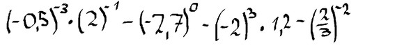
   (-frac{1}{2})^{-3}*2^{-1}-(-2.7)^0-(-2)^3*frac{6}{5}-frac{2}{3}^{-2} = \\ 
frac{1}{-frac{1}{8}}*frac{1}{2}-1+8*frac{6}{5}    -   frac{1}{frac{4}{9}}          =   \\ 
 -4-1+frac{48}{5}-frac{9}{4}=2.35
Автор ответа: petyx4
0
хм, как это расшифровать?
Автор ответа: Матов
0
перезагрузи страницу если не видно
Автор ответа: petyx4
0
ой, спасибо!
Похожие вопросы
Предмет: Английский язык, автор: Аноним