Предмет: Математика,
автор: Lunatikspb
Как найти длину дуги кривой y=-x^2+2x от вершины до точки с абсциссой х=2.
Думаю вершина (1,1) но как найти нижний ив верхний тогда предел?
Ответы
Автор ответа:
0
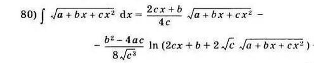
Для вычисления дуги надо применить формулу для ее расчета через определенный интеграл Пределы интегрирования от 1 до 2.
Приложения:
Автор ответа:
0
применена формула из таблиц интегралов. Для ее вывода еще надо страницу расписать
Похожие вопросы
Предмет: Литература,
автор: sermetovainna8
Предмет: Математика,
автор: Аноним
Предмет: Другие предметы,
автор: jaxongir44
Предмет: Математика,
автор: 5259308
Предмет: Право,
автор: minakov1997