Предмет: Физика,
автор: Polusha9
Помогите очень срочно!!!
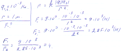
с какой силой взаимодействуют два электрических заряда по 10 мкл, находящиеся на расстоянии 1 м? как изменится сила взаимодействия этих двух зарядов при увеличении расстояния между ними до 2 м
Ответы
Автор ответа:
0
Ответ: Уменьшится в 4 раза.
Приложения:
Похожие вопросы
Предмет: Информатика,
автор: musthazhapaiaru
Предмет: Математика,
автор: Аноним
Предмет: История,
автор: Аноним
Предмет: Алгебра,
автор: LenkaSj