Предмет: Физика,
автор: lodar1
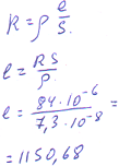
обмотку реостата, с сопротивлением 84 ом, сделано с никелевой проволоки, которая имеет площадь поперечного разреза 1мм квадратный. Какая длинна проволоки ?
Ответы
Автор ответа:
0
R=p*L/S
L=R*S/p р - удельное сопротивление (табл)
Автор ответа:
0
Посмотри, может так. Проверь.
Приложения:
Автор ответа:
0
в архив
Автор ответа:
0
благодарю
Похожие вопросы
Предмет: Английский язык,
автор: er20202020
Предмет: Қазақ тiлi,
автор: karzhauovak2010
Предмет: Математика,
автор: emilbekovaeldana
Предмет: Математика,
автор: pustovoyalena
Предмет: Биология,
автор: AppleJucie