Предмет: Физика,
автор: Spasatel
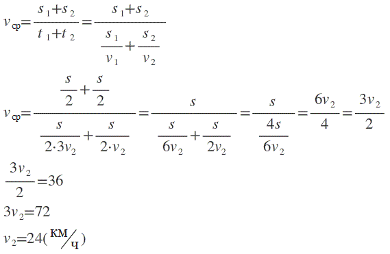
общая формула первую половину пути автобус проехал со скоростью в 3 раза больше чем вторую средняя скорость на всём пути равна 36 км/ч определить скорость авобуса на второй половине пути
Ответы
Автор ответа:
0
Решение задачи в прикрепленном файле
Приложения:
Похожие вопросы
Предмет: Математика,
автор: Аноним
Предмет: Українська мова,
автор: sausinat11
Предмет: МХК,
автор: asiakushkarbaeva
Предмет: Математика,
автор: artak19