Предмет: Математика, автор: Katoii

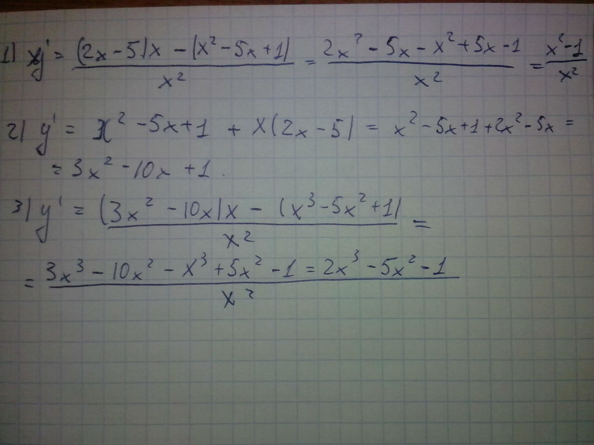
Используя формулу производной суммы,найдите производную функции
а)у=х²-5х+1/х
б)у=х(х²-5х+1)
в)у=(х³-5х²+1)/х
Помогите.пожалуйста))

Ответы

Автор ответа: Glebtor
0
Ответ во вложении. Удачи!
Приложения:
Похожие вопросы
Предмет: Алгебра, автор: emsemc6
Предмет: Геометрия, автор: ziko33456
Предмет: История, автор: миринда04