Предмет: Алгебра, автор: nagetson

Помогите решить:
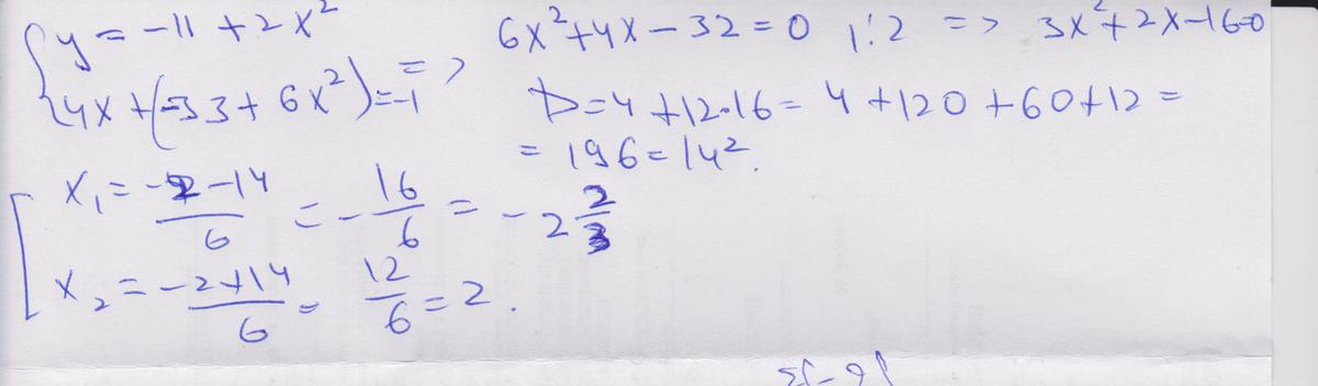
4x+3y=-1
2x²-y=11

Внимание!Это одно уравнение!

Ответы

Автор ответа: philadelphiaex
0
Ответ ниже во вложении.
Приложения:
Автор ответа: philadelphiaex
0
Это оно и есть. Вложение открой.
Автор ответа: philadelphiaex
0
Эм, щас дорешаю)
Автор ответа: philadelphiaex
0
А че так?
Похожие вопросы
Предмет: География, автор: semeon1009
1. Как называется группа металлургических заводов, использующих общие рудные и топливные ресурсы, выпускающих основной металл страны?
2. Как называются материалы, предназначенные для изготовления изделий или сооружений?
3. Как называются предприятия, на которых кроме основных стадий металлургического производства имеются побочные производства, относящиеся к другим отраслям, но работающие на отходах основного производства?
4. Чтоявляетсяконечнымпродуктомметаллургии?
5. Дополните недостающие продукт в последовательной цепочки: добыча руды =>
чугун =>??? => прокат
6. КкакойбазеотносятсязаводыстарогоОсколаиЛипецка?
7. Дополните недостающее название одного из четырех крупных центров черной
металлургии Урала: Нижний Тагил, Магнитогорск, Челябинск.
8. Какаябазаявляетсяосновнойбазойстраны?
9. Вкакомгороденаходитсяединственныйметаллургическийзавод,работающийпо
новой (бездоменной) технологии? Укажите название города в И.п.
10.Назовите центр металлургической базы Европейского Севера.
Предмет: Биология, автор: рогатка123