Предмет: Алгебра,
автор: ALEXANDROWA
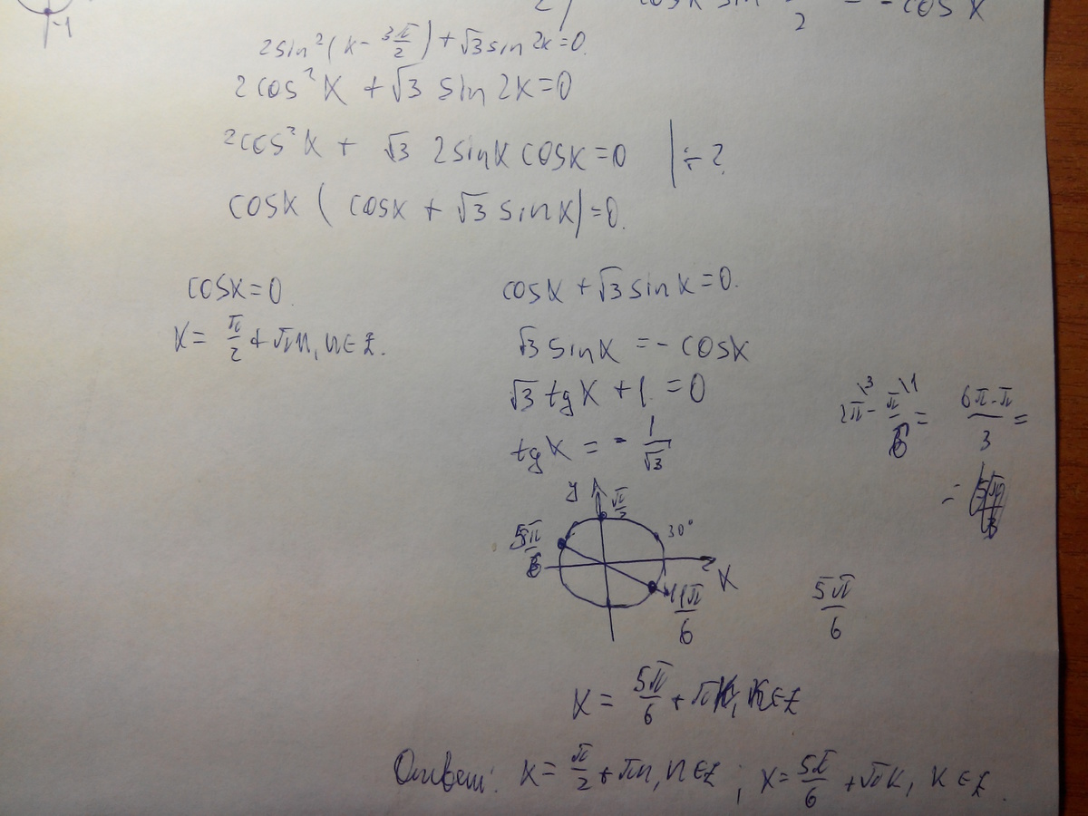
2sin^2(x-3пи/2)+sqrt3sin2x=0
Ответы
Автор ответа:
0
Ответ во вкладке смотрите.
Приложения:
Похожие вопросы
Предмет: Английский язык,
автор: yaroslavhardd2
Предмет: Математика,
автор: Аноним
Предмет: Английский язык,
автор: mansurovaanzelika6
Предмет: Литература,
автор: rammsteintill1